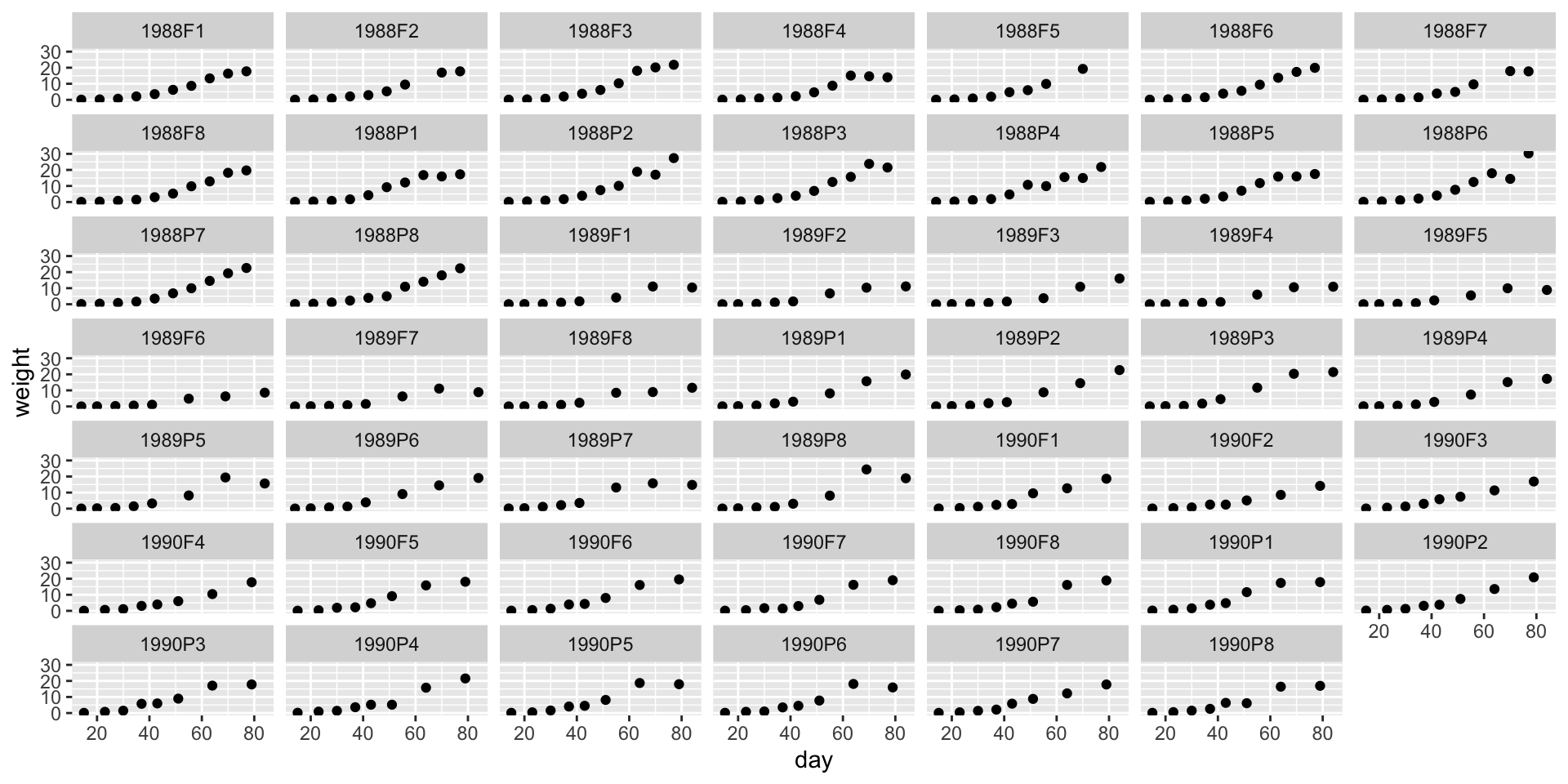
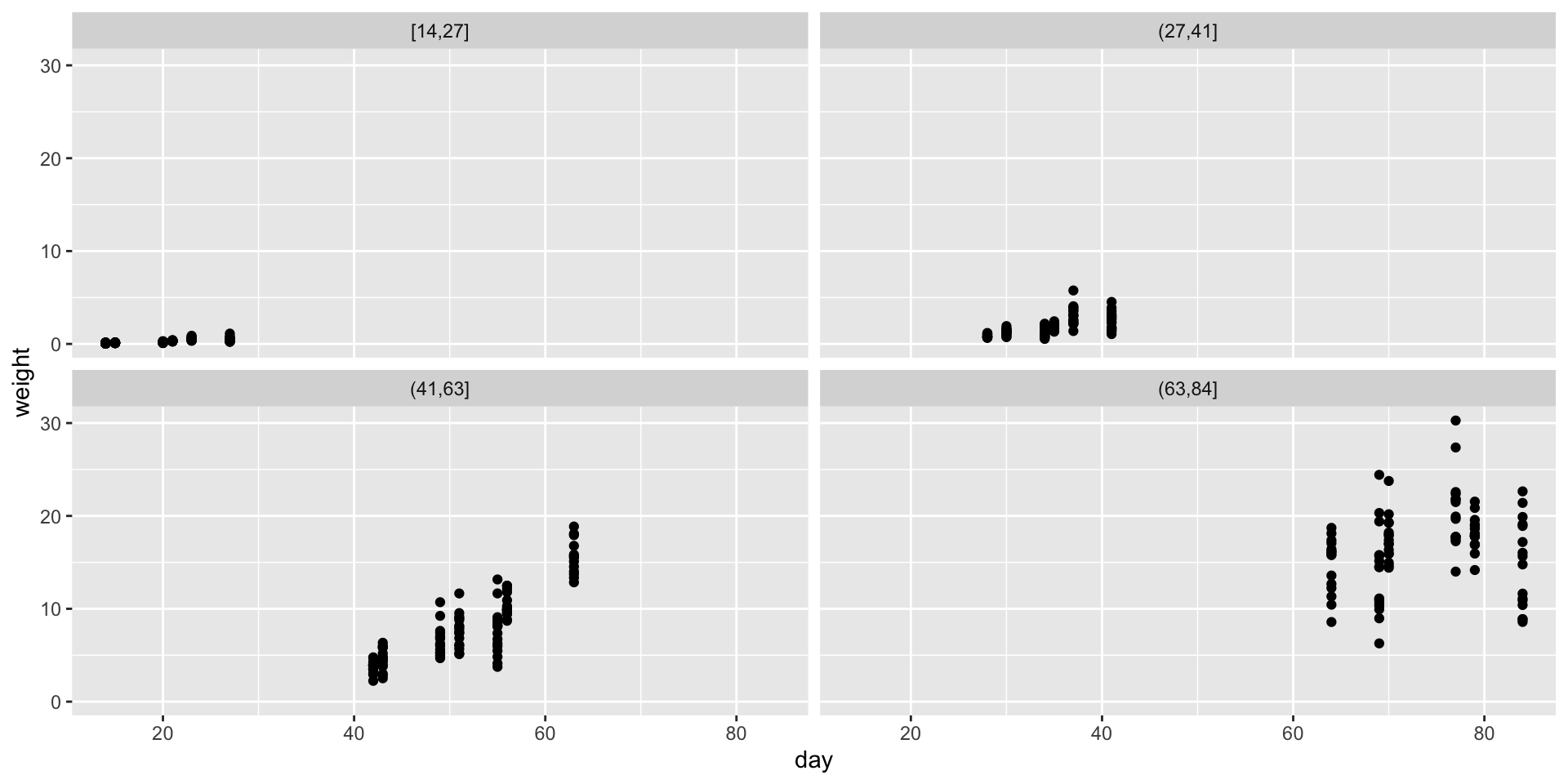
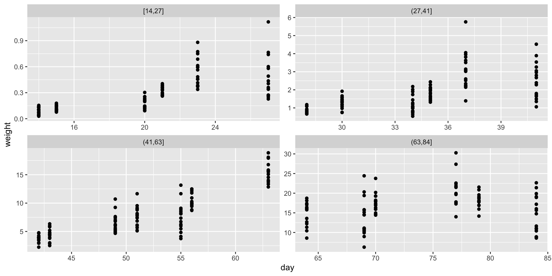
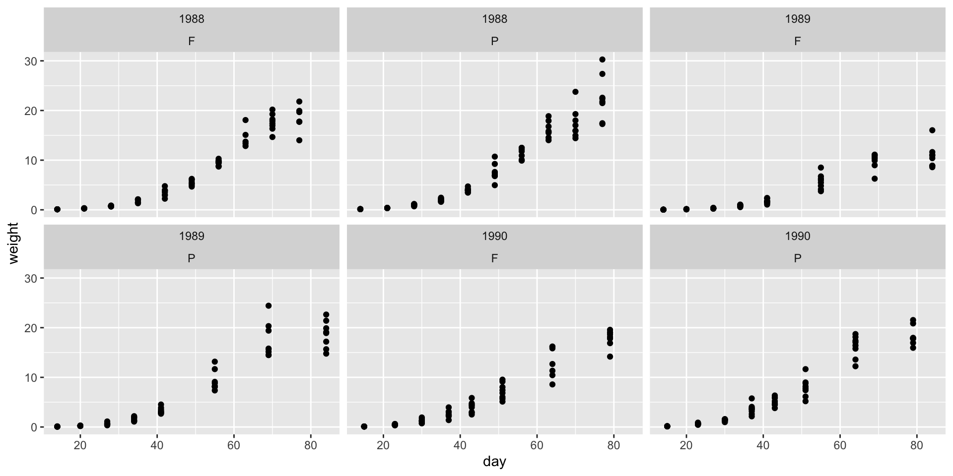
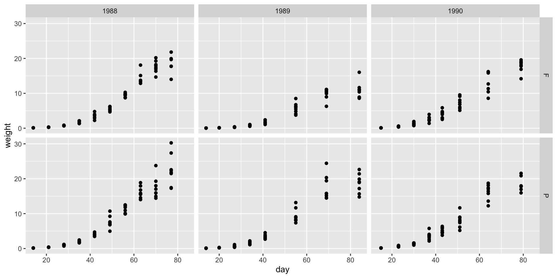
'data.frame': 412 obs. of 5 variables:
$ plot : Factor w/ 48 levels "1988F1","1988F2",..: 1 1 1 1 1 1 1 1 1 1 ...
$ variety: Factor w/ 2 levels "F","P": 1 1 1 1 1 1 1 1 1 1 ...
$ year : int 1988 1988 1988 1988 1988 1988 1988 1988 1988 1988 ...
$ day : int 14 21 28 35 42 49 56 63 70 77 ...
$ weight : num 0.106 0.261 0.666 2.11 3.56 ...










